Property Details

Featured in:

Winners:

Featured in:

Winners:

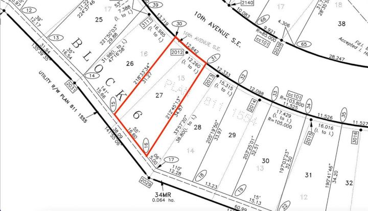
169 10 Avenue SE
Drumheller (A2148889)

$52,700
Loading Listing...

Loan Term
Interest Rate
Loan Amount
Annual Tax
Ann. Insurance

* Amounts are estimates only. Final payment amounts may vary.

Description

Residential lots for sale in Drumheller’s newest subdivision of Hillsview! All of these lots offer full services including power, water, sewer and natural gas at the lot line. These lots are ready to built on. The neighborhood is surrounded by the badlands and well located to to downtown Drumheller and the Shops on Highway 9 South. There is the option to combine some of these lots to make your lot even bigger! Start getting your new home plans ready for the Hillsview subdivision today! Limited lots available, so come early to get your choice of lots! Buyer must fill out a development permit application sheet as part of the offer outlining what they will build, who their contractor is, and outline the timeline that starts substantial construction within 8 months and completes construction with 24 months. Offers must be left open for 3 weeks from the date submitted.

Property details

Basic Info

MLS® #
A2148889
Property Type:
Land
Subtype:
Residential Land
Subdivision:
Bankview
Price
$52,700
Sale/Lease:
For Sale

Building Info

Garage:
No
Basement:
No
Inclusions:
None

Lot / Land Info

Lot Size:
0.12 acres
Zoning:
ND

Listing Info

Possession:
Negotiable
Days on Market:
469
Related Properties
Share This Listing
Ask About This Property
  • This site is protected by reCAPTCHA and the Google Privacy Policy and Terms of Service apply.
Your Agent

Grassroots Realty Group Ltd.
1-833-477-6687

Email