Property Details

Featured in:

Winners:

Featured in:

Winners:

Vulcan county
Rural Vulcan County (A2277944)

$192,500
Loading Listing...

Loan Term
Interest Rate
Loan Amount
Annual Tax
Ann. Insurance

* Amounts are estimates only. Final payment amounts may vary.

Description

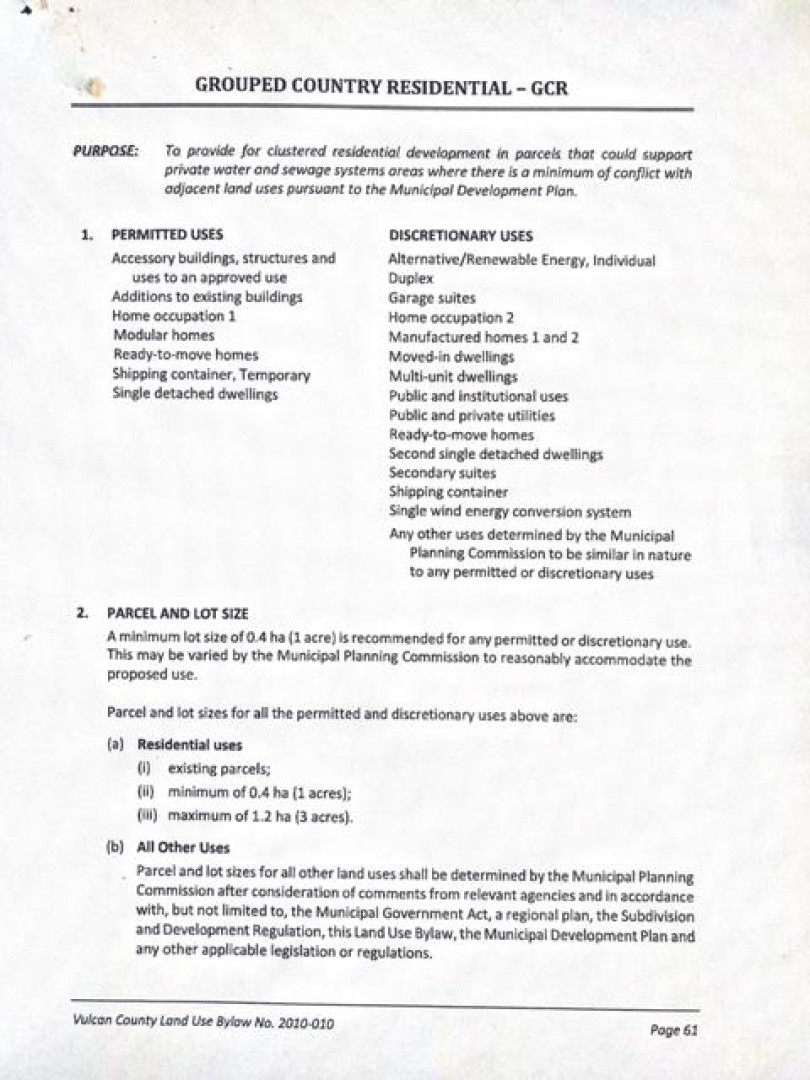
LOT 1. PRIMARY POWER LINES ARE IN !!!! Here is your chance to bring your ideas and purchase your very own acreage lot. With the Grouped Country Residential zoning it will give you numerous options under the permitted and discretionary uses. There are very limited acreage lots available at this size and price. At just under 5 acres the possibilities are endless. For the naturalists these lots still contain untouched prairie wool grasses. The County of Vulcan has been a gem to deal with as well as the inspectors making the development process straight forward. Call your favorite agent today and lets discuss options!!!

Property details

Basic Info

MLS® #
A2277944
Property Type:
Land
Subtype:
Residential Land
Subdivision:
NONE
Price
$192,500
Sale/Lease:
For Sale

Building Info

Garage:
No
Fence:
Fenced
Basement:
No
Inclusions:
N/A

Acreage/Farm Info

Nearest Town:
Brant

Lot / Land Info

Lot Size:
4.70 acres
Lot Features:
Meadow, Native Plants, Pasture, Rectangular Lot, See Remarks
Legal Land Desc:
17-18-25-W4
Water:
None
Sewer:
None
Utilities:
Electricity at Lot Line
Zoning:
GCR

Listing Info

Possession:
Immediate
Related Properties
Share This Listing
Ask About This Property
  • This site is protected by reCAPTCHA and the Google Privacy Policy and Terms of Service apply.
Your Agent

Grassroots Realty Group Ltd.
1-833-477-6687

Email